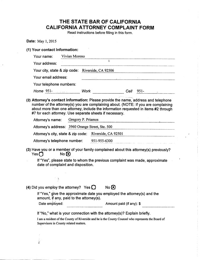
CLICK THIS LINK TO VIEW THE FULL BAR COMPLAINT AGAINST GREGORY PRIAMO BY VIVIAN MORENO
COMPLAINT RECEIPT FROM STATE BAR
According to Riverside County’s Grand Jury, Riverside County’s Counsel, Gregory Priamos’, Office has been accused of interfering and hindering with it’s investigation of the County of Riverside’s IT department. Of course, that’s nothing new here. We in the City of Riverside have been dealing with Priamos’ clown tactics for years. Hopefully, this signals the end of his run of the clown corruption, and this Bozo will finally be placed in clown jail where he belongs. It’s time he paid for the malfeasance that’s been done. The liar has cost the taxpayers millions in shabby legal advice.
This wasn’t Priamos first rodeo with the Grand Jury. In July 2013, the Grand Jury found that the City of Riverside, Office of the City Attorney, which Priamos ran at the time, did not recognize the responsibilities of the Grand Jury and did not honor the secrecy of the Grand Jury.
Let’s of course not forget that Bozo was hiring outside legal help without contracts nor authority, to the tune of $16 million during the last 5 years he was the City Attorney. In face, the City Attorney’s Office at Riverside was never looked at by internal audit his entire tenure as chief: what will the taxpayers find during the recently-ordered audit by the Governmental Affairs Committee? Stay tuned.
BOZO’S BIG TOP
In a classic Priamos comeback, according to the Press Enterprise, upon becoming aware of the Grand Jury’s dissatisfaction with his interference in their investigation, he offered to train the next grand jury on his office’s role…even we had to laugh at that one. What he wants is “client control”, so he can massage the message, and redirect the Grand Jury to a favorable outcome, by the reeducation process. The “Priamos Reeducation Process: A Study in Passive-Aggressive, Paranoid-Delusional, Obsessive Compulsive Assclownery” Those in the loop know the scam.
The other item of contention is when his office decided to sue the registrar of voters with reference to placing the marijuana measure for the June 2015 ballot. This could not be taken any other way, but to be a clear cut attempt to interfere with democratic process. Further, this classic Priamos attempt was found unconstitutional according to State of California Law. To be fair, Federal Law still classifies marijuana as a Class I drug, thus is classified as a substance which has no accepted medical use, thus illegal. The point in this process, is that Priamos should have known the difference, but still attempted to waste millions of taxpayer monies challenging State Law, which found his argument unconstitutional.
There is also the issue of whereby his office was responsible for taking many properties from income strapped seniors and residents through the code enforcement process. He was so proud of this, that he even had pictures of the homes taken within his office area.
CLOWNS TO THE LEFT OF ME, JOKERS TO THE RIGHT OF ME..JUST MORE OF THE SAME…
Related TMC stories on former City Attorney Gregory Priamos:(CLICK ON LINKS)
MAY 21, 2012: CITY OF RIVERSIDE: OFFICE OF CITY ATTORNEY: ‘WE DON’T NEED NO STINK’N CONTRACTS!’
AUGUST 29, 2012: CITY ATTORNEY’S OFFICE: IS THIS INSURANCE FRAUD? IS THIS PENSION SPIKING?
The “Shyster’s Daughter,” written by Paula Priamos, cousin of our County Counsel Gregory Priamos, which takes an intricate view of the family environment in which she grew up in, is on TMC’s must-read list.
Does Greg Priamos have a family history of unscrupulous legal work? Paula Priamos’ book gives insight to the family dysfunctionality and immoral legal dealings. When contacted by Dvonne Pitruzzello, Paula Priamos resolved to remain distanced from her cousin.
Excerpts: “Your lucky he didn’t kill you,” I say. If death didn’t get him in the form of an actual bullet, it could’ve gotten him from shock. Primos men are known for strong minds and weak hearts.
“I see my father’s body doubled over the wheel. I see his chest and arms spilling out of the car, his head dangling, blood seeping out of the wet hole in his scalp.”
CLICK THIS LINK TO PURCHASE THE BOOK ON AMAZON
Riverside County Counsel Gregory Priamos Cousin and Writer Paula Priamos
SPEAKING OF CLOWN NEWS: HAM RADIO GETS CHOPPED LIVER WHEN IT COMES TO COUNCILMAN’S PUSH TO INVESTIGATE.
The Press Enterprise article states that neighbors were at odds, but commentors who were actual neighbors, stated that had no problem with it. Hmmmm. Radio operator Braiman’s next door neighbors, Patti and David Moran and a realtor Patti Triplett, had enough political pull to get Councilman Mike Gardner and Deputy Development Director Emilio Ramirez involved to try to find loopholes in City’s Municipal Code, again utilizing brute squad tactics to terrorize and financially threaten this one Wood Street resident.
We note Councilman Mike Gardner is currently running for re-election for his position. The aggrieved neighbors claim the tower is a visual eyesore and decreasing the value of their property. These neighbors must understand that the Wood Streets are not controlled by the structured rules and regulations of a Homeowners Association. Neighbors have the right to be left alone and not be harassed by government, or of the few who feel that all should follow their utopian vision.
MR. BRAIMAN’S ATTEMPT TO FIND INTELLIGENT LIFE OUTSIDE OF RIVERSIDE CAUSES NEIGHBORS TO MOVE
We at TMC have been having difficulty getting the City to help us. Around our home we have these large 50 foot wood poles, with black wires that extend about 100 feet in both directions, and are attached to yet another wood pole. Some of these even have small trash cans attached to them. These are eyesores and I’m convinced they have devalued numerous resident property values. The City is telling me these poles are necessary…..hogwash!
CITY-PROTECTED VISUAL MONSTROSITIES
Kidding aside, what we seem to have here is a few influential constituents, who decide for the rest of us what is visually offensive, who lobby and employ the local government as a weapon to retaliate and terrorize a single resident. What we have not witnessed (to our knowledge) is that a majority has a problem with Mr. Braiman’s radio tower. The ugly truth is that many residents feel they cannot come to City Council and present their views because they believe they will be retaliated by code enforcement, etc, if they do. They see their neighbors that do complain, and observe how they are treated. And this is how the City controls free speech: through intimidation and fear of the populace…and it needs to end if we are to prosper as a community.
TMC, RATED RIVERSIDE’S MOST, “VISIONS OF GRANDEUR,” “FULL OF B.S.,” “IGNORANT,” “MISGUIDED,” “BULLYISH,” “FILTHY,” “SICK,” “PERVERTED,” “STUPID,” “PATHETIC,” “DESPICABLE,” “DISAPPOINTING,” “BELOW THE BELT,” “A NEW LOW,” “SHOCKING,” “OFFENSIVE,” “INAPPROPRIATE,” “HURTFUL,” “MEAN SPIRITED,” “DISTASTEFUL,” “EMBARRASSING,” HORIFFIC,” “SLANDEROUS” AND MEZZSPELLED, “MISSPELLED” AND “OPINIONATED” BLOG SITE! TEMPORARILY BLOCKED BY THE CITY OF RIVERSIDE AT PUBLIC ACCESS SITES WITHIN THE CITY, THEN UNBLOCKED. I GUESS YOU CANNOT DO THAT ACCORDING TO THE ACLU. RATED ONE TWO ONE STAR OUT OF FIVE IN TERMS OF COMMUNITY APPROVAL RATINGS.. TMC IS NOW EXCLUSIVLY EXCLUSIVELY ON FILE WITH THE COUNTY OF RIVERSIDE’S DISTRICT ATTORNEY’S OFFICE (WE BELIEVE THIS WILL END SOON, SINCE THE FOCUS IS NOW ON THE IMPROPRIETIES OF MR. “Z”. WE TRIED TO TELL YOU, BUT NOBODY LISTENED), AND DON’T FORGET WE ARE PROSSIBLY POSSIBLY ON FILE WITH THE CITY OF RIVERSIDE’S POTENTIAL SLAPP SUIT LIST… A STRATEGIC LEGAL MANEUVER THAT CAN BE DONE ONLY IN RIVERSIDE WITHOUT A CONTRACT… AGAIN, THANK YOU COMMUNITY OF RIVERSIDE AND THE CITY OF RIVERSIDE EMPLOYEE’S FOR YOUR SUPPORT! COMMENTS ALWAYS WELCOMED, ESPECIALLY SPELL CHECKERS! WE JUST CAN’T SPELL! EMAIL ANONYMOUSLY WITH YOUR DIRT BY CONTACTING US AT: THIRTYMILESCORRUPTION@HOTMAIL.COM













And it’s about time that someone filed a state bar complaint against the crook, Priamos. Priamos’ attorney license need to be revoked and should be fired from his current county job.
Thank you Vivian!
well Pandora’s box will now be open with all the corruption Priamos had done over the many years. Christmas comes late with this present and I hope the Bar does the deep investigation because Priamos is a disgrace to the Legal System.
Thank you Vivian!!!
It was about time. Everyone complains, but nobody does anything. Priamos did so many illegal things to everybody, employees, citizens and even a couple of council members! And got away with it!!
Good job!!
I love your information. I can feel the passion!
It is such a refreshing change from the controlled information out there
Priamos is gooing to be in more trouble if he does not hand over information to the Grand Jyry regarding security flaws within RCIT.
once he goes down how many will he take with him to get a deal?
[…] GREGORY PRIAMOS: FORMER CITY CLOWN AND CURRENT COUNTY CLOWN COMING DOWN FOR THE FALL! […]