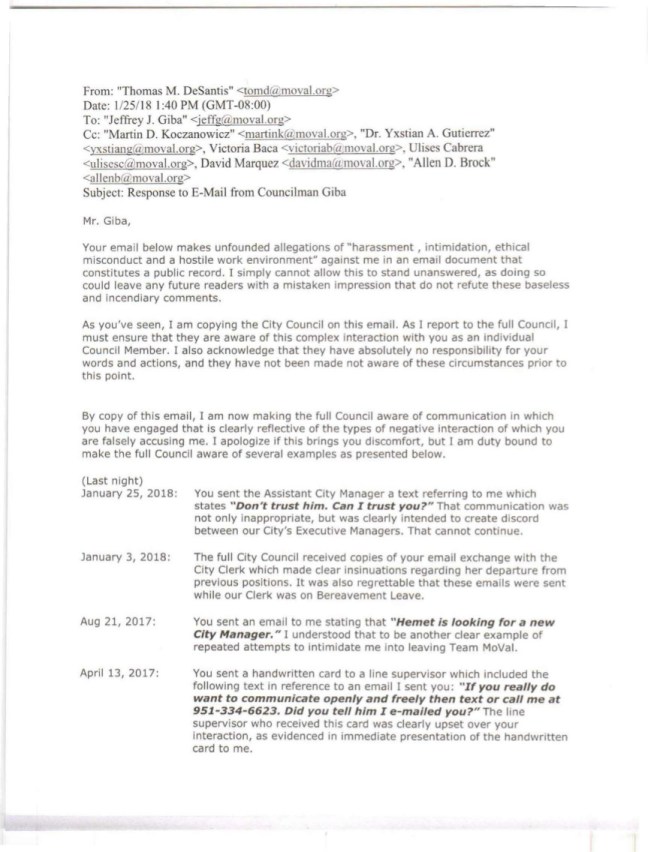
TMC EXCLUSIVE PART I: CITY OF MORENO VALLEY: COUNCILMAN JEFFREY GIBA FILES CLAIM VS. CITY MANAGER TOM DESANTIS AND FRIENDS. » DeSantis directive1
Posted: October 31, 2018 | Full size is 863 × 1136 pixels0
| Adam B on CITY OF RIVERSIDE: SCANDALOUS:… | |
| JF on CITY OF RIVERSIDE: PHONEY FALC… | |
| MarkSr on CITY OF RIVERSIDE: PHONEY FALC… | |
| Christopher on CITY OF RIVERSIDE: PHONEY FALC… | |
| Christopher on CITY OF RIVERSIDE: PHONEY FALC… | |
| Roy Bleckert on CITY OF RIVERSIDE: PHONEY FALC… | |
| Nicholas Savala on CITY OF RIVERSIDE: PHONEY FALC… | |
| MarkSr on CITY OF RIVERSIDE: PHONEY FALC… | |
| Karol Wrotniak on TMC NEWS FLASH: SELF APPOINTED… | |
| J Samueles on CITY OF RIVERSIDE: SCANDALOUS:… |
You can skip to the end and leave a response. Pinging is currently not allowed.