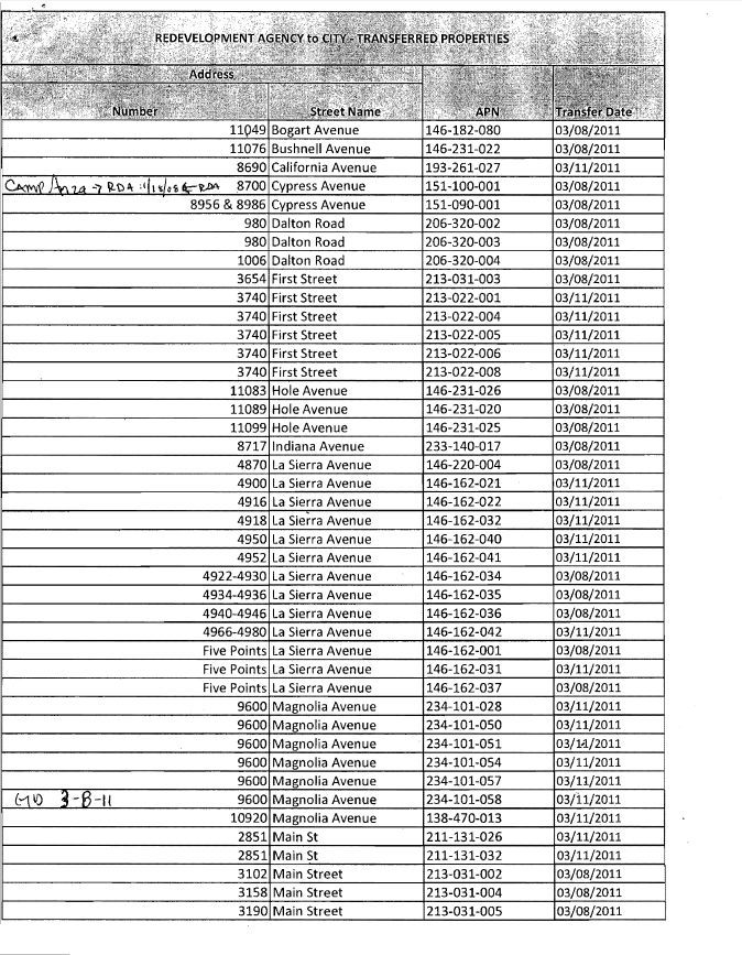
I think this letter has some serious implications. Back in March of 2011 the City of Riverside transferred aproxamately 140 properties from Redevelopment (A state agency made up the Riverside City Council and the Mayor) back to the City of Riverside. State Controller John Chiang’s Office orders cities to reverse real and personal properties transferred prior to June 28, 2011. Will this affect the agreement the City made with Riverside Community College and the 100 parking spaces it contracted to assume? This was an agreement that the TMC team warned RCC not to vote on. We warned Attorney Virginia Blumethal of the forthcoming crisis, but disregarded our information received from John Chiang’s State Controller’s Office, said the office is not an attorney and not qualified to make a legal opinion, and voted for it anyway. Mark Takano and Mary Figueroa were the only two to vote against it.

Will we now lose the Fox Entertainment Plaza? Will we eventually have to sell the Fox Theatre? Which continues to run at a deficit of of over $2 million per year and currently controlled by the city.
Also, the Arlington Branch Library, which is actually collateral for the 2010 Recovery Zone Bonds. How do you sell collateral? Letter states that in the coming weeks will specifically review and audit cities , counties and public agencies that received assets, directly or indirectly, from a Redevelopment Agency after January 1, 2011. The City illegally transferred these properties in March 2011 during Former City Manager Brad Hudson’s reign. Another blunder of bad legal advice? City Attorney Gregory Priamos should be held accountable for this!
Keep connected with TMC, the list of properties coming soon!
DEBATE OF THE CITY OF RIVERSIDE MAYORAL CANDIDATES
Today, Apr 26 Open Seating for the public 5:30 pm DEBATE 6-8p RIVERSIDE MAYORAL CANDIDATE FORUM, known as the RAINCROSS DEBATE is being held at California Baptist University in the Wallace Theater at 8432 Magnolia Avenue, Riverside CA. FREE EVENT
TMC, RATED RIVERSIDE’S MOST “SLANDEROUS” AND MEZZSPELLED, “MISSPELLED” AND “OPINIONATED” BLOG SITE! TEMPORARILY BLOCKED BY THE CITY OF RIVERSIDE AT PUBLIC ACCESS SITES WITHIN THE CITY, THEN UNBLOCKED. I GUESS YOU CANNOT DO THAT ACCORDING TO THE ACLU. RATED ONE TWO STAR OUT OF FIVE IN TERMS OF COMMUNITY APPROVAL RATINGS.. TMC IS NOW EXCLUSIVELY ON FILE WITH THE COUNTY OF RIVERSIDE’S DISTRICT ATTORNEY’S OFFICE, AND PROSSIBLY POSSIBLY ON FILE WITH THE CITY OF RIVERSIDE’S POTENTIAL SLAPP SUIT LIST… WE WILL HAVE TO ASK GREGORY ABOUT THAT ONE ( OUR PEOPLE WILL HAVE TO CONTACT HIS PEOPLE)… AGAIN, THANK-YOU COMMUNITY OF RIVERSIDE AND THE CITY OF RIVERSIDE EMPLOYEE’S FOR YOUR SUPPORT! WE REALIZE IT’S TOUGH, SO HANG IN THERE.. COMMENTS ALWAYS WELCOMED, ESPECIALLY SPELL CHECKERS! EMAIL ANONYMOUSLY WITH YOUR DIRT OR FOR CONTACT! THIRTYMILESCORRUPTION@HOTMAIL.COM