So it got a little heated at this point. Because I said I want to know what the fuck you’re talking about, Mike. Are you saying my guys aren’t doing the job? – Brian Smith, RPOA President.
The question everyone in town is asking, is what just happened? Did we just payout close to $100,000.00 in taxpayer monies because of “ego” or “politics” or just both? With this in mind, the Press Enterprise is reporting that the findings on the investigation of Councilman Mike Soubirous are “inconclusive.” Meriam-Webster Dictionary defines “inconclusive” as leading to no definite result or conclusion, not showing that something is certainly true. Based on these findings can we argue that Councilman Soubirous is cleared of all allegations? I would think yes. Well, the actual PE paper delivered to peoples homes states, “Inquiry clears Councilman.” The online version states “Probe of councilman inconclusive.” Now folks, this is the same article, but different title.
CLICK IMAGES TO ENLARGE
Why would the PE act so indifferent, this I find quite remarkable, this leads my inquiring mind to ask the question of how many prior Press Enterprise employees now work for the City of Riverside? Such as Phil Pitchford, former PE reporter, who is now Chief Information Officer with the City of Riverside making six figures, also part of the so called elitist group, the Raincross Group in Riverside. The Raincross Group was in support of Measure A. Ron Redfern, former PE editor, is now the Chairman of the Greater Riverside Chamber of Commerce. Many our calling the Chamber a laundering group by the monies that have been given to them by the City of Riverside. You only have to look at the interconnections of the cast of characters. Some have seen Pitchford being very chummy with City Manager Scott Barber at City Council. Now folks, this scenerio also interplays with the County of Riverside. You decide, does the PE really represent Truth, Justice and the American Way, Oh I forgot, and the Fourth Branch of Government? Or just a tool for the few in the whole picture of politics? Whatever it is, TMC has now been blocked from commenting on the Press Enterprise.
A public hearing will be held July 22, 2014, but it isn’t clear how the City will proceed with this hearing in the form of an opinion or action. What’s clear is that a misguided few who attempted to play a game of chance with ego and politics, and the cost to the tax payer was a pretty penny. It becomes evident that the City didn’t expect the blow back to occur and may not have been prepared for the resulting repercussions of their malfeasance. First they didn’t follow proper procedure according to Section 202 of the Code of Ethics and Conduct, specifically Mayor Pro Tem Steve Adams should have filed the complaint using the form from the City Clerks office; Mayor Bailey should have completely recused himself and had no business getting himself involved, regardless, the section is as follows:
CLICK IMAGE TO ENLARGE
With this initial assessment in mind, let’s take an analytical look at all the facts, and decipher some potential thoughts. The Valentines Day Massacre, or what now has become a “Valentines Day Blunder”: The players at hand were seven, due to blow back of this publicly exposed investigation which revealed the true nature of this conspired deceit, which leads to why the taxpaying residents continue to mistrust our City, and will not come out publicly to state this, for fear of retaliation, such as code etc.
The seven are as follows: Chief of Police Sergio Diaz, City Manager Scott Barber, RPOA (Riverside Police Officers Association) President Brian Smith, RPOA Vice President Aurelio Melendrez, Councilman and Mayor Pro Tem at the time Steve Adams, Mayor William “Rusty” Bailey and City Attorney Greg Priamos, of whom seemed to have left Dodge City so quickly before the exposure hit the fan. What is evident in this investigation is that Diaz and Barber were the employees who filed the complaint. Barber specifically made claims that Councilman Soubirous created a “hostile work environment” for him. I would imagine Diaz would have said the same, his complaint as Barber’s was crafted and designed based on third party information. Is this a Chief one can trust? He was certainly not happy with what he felt Soubirous said about RPD officers. Later we find that these comments were from unsubstantiated third party statements or what is known as “hearsay.” But Soubirous relayed that these comments came from his constituents, as entered into evidence in the investigation. Let it be known that Diaz also threatened Soubirous political career. He also threatened candidate for city council John Brandriff’s political career. He’s threatened Karen Wright, Christina Duran, Dvonne Pitruzzello, Mary Shelton and many more residents. You cannot treat people in America as if it’s some third world country. This type of behavior in a police force may be acceptable in a third world country, but not in America. So again Diaz missed the boat. Thanks again Mr. Hudson for a bang up job..
CLICK IMAGE TO ENLARGE
The witness in this complaint was RPOA President Brian Smith. Smith and Vice President Aurelio Melendrez (son of Councilman Andy Melendrez) were the two that instigated the complaint. Were these the other two employees Mayor Bailey and Councilman/Mayor Pro Tem Adams were referring to in the above document? It appears there were only two complainants according to the above letter fired back to City Manager Barber by Soubirous’s Attorney Danuta Tusynska. Also, as a side note, Danuta Tusynska was sending all legal documents to City Manager Scott Barber, not knowing that Barber was one of Soubirous’s accusers. According to this letter Mayor Pro Tem/Councilman Steve Adams and Mayor William “Rusty” Bailey told Councilman Mike Soubirous that there were four complainants on April 1, 2014, April Fools Day. Were the two trying to be facetious? Further, both Adams and Bailey stated that the four filed under the “whistleblowers” act and would not be identified. Again, this was found to be innaccurate, no filing was ever done. The two actually decieved the councilman with a premeditated untruth…they lied.
Soubirous has said he believes the investigation is politically motivated because of the election, and because he has questioned Police Department actions and policies since taking office. “I am an elected official and if I want to propose policy for (the Police Department), for building and planning, for parks and recreation, that’s my job,” he said. “They don’t want to see any rocking of the boat.” It’s very clear that the City of Riverside has optioned, by it’s familial ties to curb the true aspirations of the taxpayers. We have to ask the question of why they would do this? I believe, undoubtedly, with respect to their (the City’s) position with old familial ties, that the web of connected political repercussions we unfortunately see occurring today, in the political forefront, can be directly tied to the actions of a certain composition of those in City Council and their employees.
Again, we at TMC have tried to tell the community and residents of Riverside for years that the very people we believe we trust, we cannot. We are told by Adams and Bailey that four city employees have filed a complaint against Soubirous. Later, we find that RPOA Brian Smith and Aurelio Melendrez may have been the other two, but accordingly, they are only witnesses… The whole investigation was based on these two witnesses, while the Diaz and Barber interviews were left out of the investigation. Diaz and Barber did not file formally as indicated, but sent letters with their complaint. The others that were interviewed and not part of the investigative process was the Mayor, each of the City Council members, City Manager Scott Barber, Chief Sergio Diaz, City Attorney Greg Priamos, Community Services Superintendent Patricia Solano, Assistant Chief Chris Vicino and Community Development Director Al Zelinka. Really, Al Zelinka? What was that all about? TMC has ordered these transcripts. Why these taxpayer paid interviews were not used, we don’t know. What a tangled web we weave, when first we practice to deceive!
In retrospect, Smith and Melendrez’s initial contact person, was Chief of Police Sergio Diaz, then City Manager Scott Barber. The two (Barber & Diaz) went to file their complaints against Councilman Mike Soubirous. We must remind you, not formally as required.
CITY MANAGER SCOTT BARBER’S COMPLAINT (CLICK IMAGE TO ENLARGE)
Interesting enough, is that Barbers personal complaint against Soubirous is solely based on third party information, hearsay, and not a direct encounter with Soubirous.
POLICE CHIEF SERGIO DIAZ’S COMPLAINT (CLICK IMAGE TO ENLARGE)
The secondary contact people were Councilman and Mayor Pro Tem at the time Steve Adams, and the Mayor himself, William “Rusty” Bailey. Was this a conspiracy? Of course, we have to ask this question. But as you know, you as the public must decide based on the facts. The evidence and facts are uncanny. The full investigative report is as follows:
CLICK THIS LINK TO VIEW FULL SOUBIRIUOS INVESTIGATIONAL REPORT
The allegation made by Smith were by most, quite remarkable. Initially, there was a meeting between Councilman Mike Soubirous and Smith on February 14, 2014, St. Valentines Day, the premeditation date of the conspired political massacre.
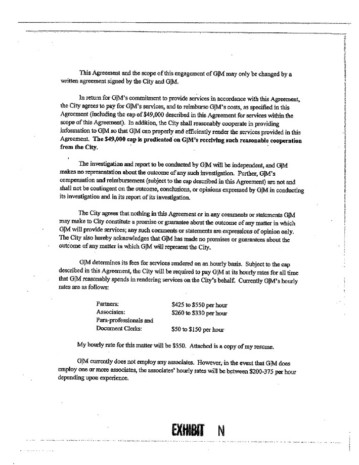
CLICK IMAGE TO ENLARGE (THE ORIGINAL CONTRACT SIGNED BY COUNCILMAN STEVE ADAMS AND THE LAW FIRM OF GUMPORT MASTAN)
The meeting with Soubirous led to some concerns by Smith. He then went to his superior, we are not sure, as an employee or as the President of RPOA. Regardless, he first spoke to Chief Diaz; he then took his concerns to City Manager Scott Barber, in turn went to Adams and Bailey, with the resultant initiation of this investigation signed by Adams.
According to Campaign Form 497, RPOA really didn’t like Mike Soubirous at a contribution of $45,984.40 of association money to the Valerie Hill Campaign. What was this all about? What kind of beef did RPOA have with a candidate with a 29 year, pristine career as Acting Commander with the California Highway Patrol? Well it may have been quite a bit if he didn’t rumble to the expected tune of the RPOA. Would this mean he disagreed with some of their postions or their obligatory demands to sustain their “organization”, as Melendrez puts it? It seemed according to the investigating report that Aurelio Melendrez had trouble understanding how these 497 forms were attained by other officers.
CLICK ON THE IMAGE TO ENLARGE
Well, these are public, and easily found on the City of Riverside web site. It also seems your officers were concerned with how their association dues were spent, and why so much was spent when they themselves felt Soubirous would be the winning candidate. This according to Melendrez’s testimony in the interview process. According to page 10, RPOA President Sergent Brian Smith stated in the interview process, “What pissed me off was that he [Soubirous] was meddling in my business by going to members and poking them, saying, you know, you spent $40,000.00 on a loser.” Let me get this straight, the taxpayer pays RPD salaries, the Councilman is the representative liaison for the taxpayer, but what Smith appears to be saying is that if you have anything to say to his members, you are “meddling” in his business. I don’t believe Smith pays the salaries of his members, or are they employees of Smith. I believe the members pay dues to his association, union or organization, so why would he meddle with the legitimate business of the taxpayer?
Smith said that, at the meeting, Soubirous “tried to big league me by letting me know he was the councilman and he was calling the shots, that it was a 7-0 vote to remove Scott if he didn’t do what they deemed he needed to do, and that maybe if Sergio doesn’t come in line, maybe it’s time to see if Sergio Diaz can be replaced as chief of police,” according to a transcript of his interview with Gumport. According to the investigation, page 5, [G], It does not appear that council ever voted to remove City Manager Barber or Chief Diaz.
CLICK IMAGE TO ENLARGE
In addition, it does not appear that the council or its members informally or secretly voted to remove City Manager Barber or Chief Diaz. What’s evident, is that Smith’s contention or allegation was inaccurate. Was it by perception that the allegation or statement was made? Or was there simply an ulterior motive? We can only ask the question otherwise it would be sheer speculation.
One criticism of the law firm Gumport Mastan is their following statement in the investigation: “The February 14, 2014 meeting and it’s fallout, including the time and expense of Gumport Mastan investigation, demonstrate the cost and disruption that can occur when Councilmembers deal directly with subordinates of the City Manager instead of dealing with them through the city manager.” Again, this was out of the scope of proper practice of the firm to even attempt to suggest this opinion (page 5), after they stated, according to the PE, an investigation into complaints against Riverside Councilman Mike Soubirous was inconclusive, finding that “it would be speculation” to say whether Soubirous did anything wrong. Gumport Mastan is contradicting its own finding. Was Gumport Mastan attempting to give the city a slight bone in their favor at taxpayer expense?
Again we must ask the question, was this a bumbling attempt by a few rogue City of Riverside elects, officials and employees a conspiracy to slander a councilman for political reasons at the expense of the taxpayer? Residents are overwhelmingly telling TMC, Yes! Why are residents afraid to come out, they fear retaliation by the City of Riverside.
I believe the Charter is flawed, and Council should be able to go to three Department heads to discuss policy which directly effects the taxpayer; the City Attorney, the City Manager and the Chief of Police. In addition, they should be elected positions. I believe RPOA is responsible for this and they should reimburse $100K back to the taxpayer for this debacle. With that said we have a $100K that could go to our Library. In the City of Arts and Innovation we sadly realize no one really cares about the knowledge of books and our library system. As much as the City spends on nonsense items, we cannot get $100K? We cannot even get a measly $100K donated from the Greater Riverside Chamber or the Raincross Group.
The question I really have for Brian, is why did you really do this? Did you really believe a Brown Act violation was occurring? Did you sincerely expect to receive any ground based on your suspicions? The right thing to do is to give it back to the taxpayer, if you can dish out over $45K for a campaign, you can certainly make good on $24K for the Library. As an “organization” or “association” or whatever you want to call yourselves these days, people understand unions, of which you are.
Lastly, these remaining six should resign or be fired… TMC ask for the resignation of Mayor William “Rusty” Bailey, Councilman and Mayor Pro Tem Steve Adams, City Manager Scott Barber, Chief of Police Sergio Diaz. We City Manager Scott Barber to fire RPD Sergeant Brian Smith and RPD Detective Aurelio Melendrez. The Greater Riverside Chamber and the Raincross Group should be asking for their resignations and firings, as well as other community advocates such as The Group, The Latino Network and the NAACP. This my friends is what the community is asking TMC to ask for. We want our City back..
The Second Part of this story is coming up shortly..
City Manager Scott Barber and his police chief crony Sergio Diaz have got to go. These two individuals are corrupt. Wasting taxpayer money. Filing false reports to suit their agenda. Sergio Diaz is a phony, a coward, and a little angry man who we need to send back to Los Angeles. It has been revealed during this scandal that city officials have partnered with the RPOA Brian Smith to smear Councilman Mike Soubirous because he won the Ward 3 election. Anyone who knows Mike and Linda Soubirous know that they have only served in the best interests of law enforcement and Ward 3 residents. This is politically motivated, and the losers are the taxpayers. Who is to blame ? Mayor Bailey, Councilman Adams, , City Manager Scott Barber, RPOA president Brian Smith. These men have cost you the residents of Riverside thousands of taxpayer money in an attempt to slander Councilman Mike Soubirous because he beat Valerie Hill in the Ward 3 election… These individuals endorsed Valerie Hill. Mike Soubirous is actually doing the job that residents hired him to do… which is to ask real questions and make city officials give account for your taxes. Please support Mike Soubirous on July 22, 2014. These same individuals are also trying to slander Ward 4 Councilman Paul Davis because Davis pulls no punches when it comes to making the city accountable for your tax dollars. No more wasteful spending at City Hall. RPOA President Brian Smith you are a liar. Aurelio Melendrez… you are a spoiled brat. Just because your daddy got you a job with the RPD, and now you are vice president of the RPOA, you think you are hot stuff and that you can slander your fathers (Andy Melendrez) colleague (Mike Soubirous) ? Brian Smith and Aurelio Melendrez need to focus on police work and not politics at city hall. $100,000,000 that could have been spent on the downtown library. What a waste of taxes. Need to get rid of Scott Barber and Sergio Diaz !!! – Isaac Mendoza, Commenter on the PE
Chief Sergio Diaz talks about men’s balls quite a bit, locker talk or obsession, I just don’t get it, or this pic… a man with a badge and gun, what he does on his own time is his business.. Is that an RPD arm patch on his crotch? What was the Chief thinking? Chief Diaz, don’t get pissed at the picture, we know you have balls. They may not be “balls of Kryptonite” as Soubirous, but standard “Softballs” to say the least…
The Brockton Bike Lane, The Magnolia Avenue Trolley…What’s next for the City of Riverside, on Mayor Baileys To Do List?
TMC, RATED RIVERSIDE’S MOST “SLANDEROUS” AND MEZZSPELLED, “MISSPELLED” AND “OPINIONATED” BLOG SITE! TEMPORARILY BLOCKED BY THE CITY OF RIVERSIDE AT PUBLIC ACCESS SITES WITHIN THE CITY, THEN UNBLOCKED. I GUESS YOU CANNOT DO THAT ACCORDING TO THE ACLU. RATED ONE TWO ONE STAR OUT OF FIVE IN TERMS OF COMMUNITY APPROVAL RATINGS.. TMC IS NOW EXCLUSIVLY EXCLUSIVELY ON FILE WITH THE COUNTY OF RIVERSIDE’S DISTRICT ATTORNEY’S OFFICE (WE BELIEVE THIS WILL END SOON, SINCE THE FOCUS IS NOW ON THE IMPROPRIETIES OF MR. “Z”, WE TRIED TO TELL YOU, BUT NOBODY LISTENED), AND DON’T FORGET WE ARE PROSSIBLY POSSIBLY ON FILE WITH THE CITY OF RIVERSIDE’S POTENTIAL SLAPP SUIT LIST… A STRATEGIC LEGAL MANEUVER THAT CAN BE DONE ONLY IN RIVERSIDE WITHOUT A CONTRACT, WE WILL HAVE TO ASK GREGORY ABOUT THAT ONE ( OUR PEOPLE WILL HAVE TO CONTACT HIS PEOPLE)… AGAIN, THANK-YOU COMMUNITY OF RIVERSIDE AND THE CITY OF RIVERSIDE EMPLOYEE’S FOR YOUR SUPPORT! COMMENTS ALWAYS WELCOMED, ESPECIALLY SPELL CHECKERS! WE JUST CAN’T SPELL! EMAIL ANONYMOUSLY WITH YOUR DIRT BY CONTACTING US AT: THIRTYMILESCORRUPTION@HOTMAIL.COM


























I like Mike Soubirous a lot. I voted for him., and I think he is doing an excellent job. I’ll walk the streets with him if he runs for office again. I warned him early on that if you want to get along with our city leadership that you will be required to go along with them, and toe the mark as they want you to, otherwise you will be marginalized. It is so very obvious now.
I am very disappointed with the old guard downtown. They seem to think that they own this city. Spending serious taxpayer money for an investigation like this one is so ludicrous I can’t even believe it. Obviously they have nothing better to do than play these games. I used to think San Bernardino was a joke, but now I can see how things really are here in Riverside. We are just as bad.
We were warned before voting this Mayor in office but many citizens did not vote so now please don’t complain about the corruption. As people watched the campaign watching Bailey violate so many laws and the false mailing while first lying then after caught admitting. Now the City Attorney was needed to continue the back room deals and was given a big raise for his work. Bailey made Riverside national news by arresting a citizen for speaking over 3 minutes and then arresting a lawyers for clapping while all the other citizens clapping were never arrested. A DA now under investigation and likely to name names to save himself. Well now Mike has to be pushed out because he is learning of the secret corruption. It was sad to see even honest councilmen like Mr. Melendrez was a great guy who looked to help the people but was an outsider to the team. Well Melendrez was asked to join the enter circle for the Latino vote. Now the crime continues and as the direction is going the State/Feds will likely have to come in. As people learn they are included in the State investigation it seems they resign to other jobs in the hopes that’s enough. People have to remember any investigations by this council is given to legal friends not in the city of Riverside. You vote corrupt leaders you get what you vote for. Mike will continued to be attacked because he works for the people who elected him and that is not how the council and Mayor work. Now the City will have to hire another corrupt City Attorney who can spin and break the law but make it sound legal.
Loveridge was the mayor when Karen Wright was arrested for talking beyond 3 minutes. I know you hate Bailey, and he’s made a lot of mistakes, but arresting Karen Wright was not one of them. This is the 2nd or 3rd time, Airjackie, that you have made this mistake. Please keep your facts straight.
It’s easy to get Loveridge and Bailey mixed up. After all, Bailey was Loveridge’s hand-picked successor, and he’s just carrying on Loveridge’s grand tradition of speaking about transparency and inclusiveness and green cities, all the while while stomping on the First Amendment and promoting the destruction of the La Sierra Hills and an end run around Measures R & C for his developer friends.
yes we watched it Kapta. as it was shown in every State on TV.. Rusty was watching in his seat and then had Mrs. Pepper arrested. The State is investigating those mistakes and you can bet they are going to get it straight.
[…] Thirty Miles Of Corruption had a well documented post regarding the way politics is being played at City Hall and why we should be storming the castle to get this sorted out. […]
Kaptalizm,
You are so quick to jump on any small fact for the corrupt! I’d love to see you up there running for office ( if I knew your real name), you would see things somewhat differently, unless you are hand picked! trust me, I’ve watched it first hand. Councilman Soubirous is coming doing what the people voted him in to do. He, however has not bought into the “Club”. Yes there are some Nice guys on council, but they have let there dignitary status ego get in the way of the real world, and what needs to be done.
[…] the city millions if they had each pursued more than their attorneys fees to clear their names. But, but what goes after Soubirous is skewered and slandered by Bailey’s actions, with the int…? How should the taxpayers read into […]
[…] President of the Riverside Police Officers Association, and participant in the Riverside’s Saint Valentine’s Day Massacre. Aurelio, we are told, left the department under suspicious circumstances not unlike […]