How much can residents take? and what must they do to protect their own monies from over taxation schemes when elected officials won’t?
Some of the misconceptions perpetrated by the City of Riverside on the Fact Information Tour regarding Measure A is that if monies from the water fund are stopped, they will have a direct impact on city services which the community relies on. Fact, since June 2012 when the Moreno’s filed their law suit in care of the citizens of Riverside, the city responded by ceasing the transfer. Fact, the transfer was immediately stopped because it was illegal under Proposition 218, specifically article 13 (c) and (d) under the State Constitution of the State of California. Since then there has been no direct effect on city services. The city explains that this is not a tax, but in one community event at the Goeske Center, Fire Chief Steve Earley admits it is a “general tax.” Also, admits when asked, that there are no figures to show how much of the Fire budget comes from this General Fund Transfer (GFT). Subsequent to that, City Manager Scott Barber, on the following day at Orange Terrace Community Center described it as a “tax.” The community events whereby the Chief of Police and Fire Chief are parading the community circuit, we are finding The Raincross Group right there with them.
The City of Riverside has described that this General Fund Transfer from the Water Fund was voted on in the years of 1908, 1968 and 1977. This all true, we make no bones about it, but one of the discrepencies the City fails to make public, is when Proposition 218 was voted on by the taxpayer in 1996 by an overwhelming 84% of Californian’s, this made the transfer illegal, even for charter cities such as Riverside. So when our Mayor Rusty Bailey states that Proposition 218 doesn’t affect charter cities, he is not being correctly informed, or he has not read the document. Proposition 218 described that a new General Fund Transfer (GTF) from the Water Fund must be brought to a vote to the people. That was never done, until the Moreno’s challenged the city by filing the law suit. Further, if this GTF is approved by the people, as in the current Measure A. If passed, according to Proposition 218, cannot be used for City Services, but must solely be used for Water related purposes with precision accounting of the monies. Specifically, page 50, Propostion 218 states very clearly. But the City and others, such as the Raincross Group, a highly intellectual and distinguished group, continue to encourage residents to vote on an illegal measure. I would imagine Tom Evans, a former City of Riverside Public Utilities Director, would be well versed in Propostion 218. This shocks me, but at the same time it doesn’t, especially when the city has been taking monies illegally since 1996, and with premeditaion.
PAGE 50 OF PROPOSITION 218, CLICK IMAGE TO ENLARGE
The last 16 years since the approval of Proposition 218, the City of Riverside has continued to transfer tax payer monies illegal to the General Fund. The city claims that city services will be effected by the loss of these funds. Granted, for the sake of argument, when city officials are asked how much of the GTF is budgeted for a particular department, no answer exist. When asked for documents of the accounting of how these funds are used for specific city services, there are no document responsive to our request. Granted, the City claims many services will be effected as Fire, Police, Crossing Guards, Tree Trimming, Libraries, Storm Drains, Gang Control, Disabled Services, Senior Services, Landscaping, 911 Dispatch Personal, 311 calls, Street Sweeping and on and on. Oh and I forgot the coup d’état, the Clean Water Measure, which is already paid for. But what resident don’t know we pay to keep are streets clean for Orange County. That’s right! Water from our street goes back to the Santa Ana river, percolates into the ground water down river, and Orange County pumps this water from the ground for their communities. But in the grand scheme of things it’s doom and gloom when it comes to many cuts in staff and programs if Measure A does not pass. Will the sky really fall? Of course, not that only happens in movies, but this leads to our next question of how these transferred monies were actually allocated over the last 16 years since 1996 when Proposition 218 came into law.
How are these Water Fund monies used and dispersed once they are transferred to the General Fund? Now, first the City was out on an informational tour last month to give facts on Measure A, now this informational tour has turned into Support of Measure A tour. This of course, utilizing taxpayer resources to present their talking points. Well, the City was asked how much these Water Fund monies were budgeted for the specific purpose or services. None exist! There were no documents responsive to our request. The City states the monies are just mixed into the General Fund, no specific account, so when dispersed, we don’t really have an accountability of where those funds went or to whom. When asked how they will be accounted for if Measure A passes, there response is that they will do the same. So is the City’s Measure A Tour a farce? Well the Resolution, Item 6, of March 05, 2013, passed by Council, states that water public utility money will be kept seperate and apart from all other moneys from the City by depositing them in a separate and appropriate revenue fund. The dispersements of the water utility fund at the end of the fiscal year would be reported by and independent auditor. What gives?
CLICK IMAGE TO ENLARGE
OR
VIEW COMPLETE MARCH 05, 2013 RESOLUTION, CLICK THIS LINK
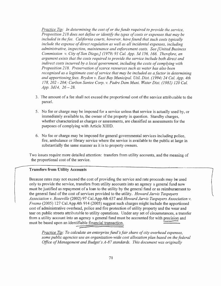
When one looks at specifically page 71 of Proposition 218, it states that “ a transfer from an utility account (Water Fund) into an agencies General Fund must be accounted for with ‘precision’ and must be based upon an identifiable financial transaction.” So are we to assume “Slush Fund?”
PAGE 71 OF PROPOSITION 218, CLICK ON IMAGE TO ENLARGE
The way the city has perpetrated this is simply wrong and illegal. If the city needs more for Police and Fire, show us the budget, then raise our Property Taxes. In addition, Proposition 172 passed by the Citizens of the State of California gave ½ cent of the sales tax to cities to pay for city services. The Utility User’s Tax (UUT) on your utility bill is 6.5%, which goes to city services. You were therefore paying 18% in taxes when you combine the 11.5% and 6.5% for the last 16years without a vote. In a City Council meeting last March 2013, Chief of Police Sergio Diaz gave his report regarding the status of the Police Strategic Plan. In his speech he maintained that the Police Account was sound, and that we could hire more police if necessary. Would also maintain that Fire Account is the same at a $40 million yearly budget, afterall, we just bought a new fire truck this year. But on the same token we did place about 10 of our fire departments as colateral to back some loans the City took out for some projects. Regardless, the City maintains we have $400 million in pooled cash and investments, with additional $40 million in reserves.
“Regardless of how we got there and how we’ve been placed in this position, this is the best alternative for us.”..pfft..the best alternative is to leave money alone, if the money is for water..it’s for water..if it’s for police/fire…it’s for police fire..not for all the little pet projects you all come up with that does nothing for us but fills your pockets with ill gotten tax dollars…then to have you guys scratch your heads and ask where’d all the money go then come up with some other asinine ballot measure to cover what y’all stole. -George Bessey, Licensed Nurse L.L.U.M.C., Commenter on the PE.
For the City to parade two of the highest most respected uniformed safety providers for the community of Riverside is quite appalling. They do this under the auspices of administering so called informational facts on Measure A, of which the City obviously supports, is just plain wrong and shows they are not looking out for the best interest of the citizens. What is the connection, between The Raincross Group, an exclusive advocacy group whereby membership is by invite only, and the City of Riverside?
Residents have been seeing some of their members, such as Gary Christmas, parading with City personal and elected officials on the city’s fact and informational tour. Such as at Orange Terrace Community Center, advocating in favor of Measure A, then leaving with elected and city personal. Isn’t this representative of status quo?
CLICK THIS LINK TO VIEW FULL DOCUMENT
Compelling to note how many of the who’s who actually benefit from the City of Riverside in contributions, contracts or other forms of municipal welfare. How many of the Raincross Groups membership is benefiting from city taxpayer coffers?
Many of the members read as a who’s who of the pillars of the community, and appear to advocate positions of City of Riverside officials. Is this because the City of Riverside subsidizes and/or provides beneficial contracts to loyal members? Isn’t this again maintaining status quo? I believe it was Rusty Bailey, here it is, yes he did, stated, “….and, I’ll challenge the status quo to improve our quality of life.” I don’t know what Rusty believes, but he has since gave $1,000.00 to the Yes on Measure A campaign as indicated in the document below. Fiscal responsibility, that’s another question to ponder.
CLICK IMAGES TO ENLARGE IMAGE
When this was brought up last night at during public comment at City Council, a single clap in the back by good ol Tom Hunt, member of the RUSD Board of Education, signified a shout out in support of that action.
But in public comment referred to those who were not in support of Measure A Hunt stated to the Council “we shouldn’t let wrong minded nay sayers take control of our City.” Pretty tough words for a RUSD Board member, I guess those naysayers are on notice! So who is in control of the City Tom, the Raincross Group? The Greater Riverside Chamber? You? Mr. Hunt, when we found out that the City was stealing money in clear violation of the law to the extent of $80 million dollars, what were we going to do with this information? We brought it to the Council 2 years ago, they did nothing. We had to file a water law suit in care of the citizens to get attention. One more thing Mr. Hunt, you kept referring to how this measure will affect schools. Well it won’t, schools are funded by the State, sorry Mr. Hunt. We are all part of this City together, and if concerns are taxes, we will all have to pay that together.
We must reiterate our position, if Police and Fire need more funding, the City should utilize the proper road to show the tax payer that funding in needed. If they are needed, I have no problem and others in the community do, in voting to raise our property taxes to ensure that these safety services continue to be maintained. The problem is how the Police and Fire Unions have completely emeshed themselves without proper research behind the measure. The great amount of monies flowing from these two Unions is also evident. The Police and Fire departments at the City level should always focus on what is in the best interest of the taxpayer, and the residents they serve, not to appear self serving.
At one event at the Goeske Center for Senior’s, Fire Chief Steve Earley stated that Measure A is a “general tax”; further could not account for how much of the City Fire budget comes from the 2.8% General Fund Transfer from the Water Fund. Further, we have our Chief of Police, Sergio Diaz, attending community meeting and speaking in support of Measure A, according to the Press Enterprise. Twice already breaking the law, a uniform city official speaking in favor of a measure, and secondly, encouraging residents to vote on a measure which according to the California State Constitution is illegal. Not a great start up for the Chief of Police.
We also saw this in anothe example when it came to ecomments, whereby Mayor Bailey made known that a majority were in favor of passing the resolution in favor of Measure A. Eighteen out of the 22 commenters were from the City Fire Department. We also found from forms 476, that Mayor Bailey contributed a generous amount of $1,000.00 to the Yes on Measure A campaign. Form 497 contributions are as follows:
CLICK IMAGES TO ENLARGE
So far as indicated in the Press Enterprise, the “Yes on Measure A” campaign has contribution commitments which are in the neigborhood of $46,000.00, and the “No on Measure A” campaign has, Ugh, are we sure about that? We have commitments of $0.00
As most Police and Fire do, we suggest the monies contributed to your campaign should go to needy charities. But a whopping $19,000.00 from the Riverside Firefighters Legislative Action Group, part of the California State Firefighters Association. We also have monetary support at the local level from Firefighters Union and Police Union. Yep the City wants the money, but are unable to produce documents which reflects how much transfered monies were allocated for a particular purpose. Even with $40 million dollar Fire Fighters budget, Chief Earley wasn’t able to tell community residents how much is allocated to the budget. So is Yes on Measure A really about unions and not employees and city services?
CLICK IMAGE TO ENLARGE
What’s also quite interesting is Matthew Webb, of Webb Engineering, which recieves a considerable of City contracts is Co-Chairperson of the Yes on Measure A Committe. While the Chairperson of the Yes on Measure A, Ofelia Valdez-Yeager didn’t even show at this weeks city council to provide support.
Further, why are some of the executive staff and councilmembers in a tizzy as some have indicated, in trying to win over candidates to the support Yes on Measure A. We know already it doesn’t benefit the residents, so how is it benefitting the City, especially when they cannot attest on how these monies were spent for the last 16 years?
Many of their members are involved with City officials in their support of Measure A passing. Ofelia Yeager, is now the Chairperson for the Yes on Measure Campaign Comittee, with Mathew Webb, of Webb Engineering, as the Co-Chairperson and Richard Teaman, Treasurer, who was also treasurer for the John Tavaglione for Congress campaign. What does it say when a grass roots group such as No on Measure A is confronted by monies in excess of $46,000.00? Maybe the Yes on Measure A is strickenly worried? They are continuing to strick unneccesary fear into the community with the threat of cutting services. Services already provided by the Property Taxes. If already paid for by property taxes, where is the money?
So when does an Measure A informational tour become just bad business? Well it appears that the PE is reporting that the Chief of Police, Sergio Diaz is out speaking to community groups is support of Measure A. Or Councilman Mike Gardner making phone calls giving his candidate endorsement for a vote of Yes on Measure A. We are getting more and more information of City Staff and Council pushing the Yes on Measure A theme. A City cannot utilize taxpayer monies to support a measure, they cannot send their staff, Police Chief, Fire Chief and elected officials on the taxpayers dime in support of this measure. They can on their own time but no in the capacity of their title and in their uniform.
Chief of Police, Sergio Diaz Councilman Mike Gardner
Even City Manager, Scott Barber, was at it trying to convince some candidates and others for a Yes on Measure A. The City really needs the money?
City Manager, Scott Barber Ooops, Sorry City Manager, Scott Barber
Couldn’t the Yes on Measure A use a different domain name than the No on Measure A? Let’s see: http://yesonmeasureariverside.com/ and http://noonmeasureariverside.com/ Pretty close don’t you think?
But the City continues to print information in support of Measure A as in the Explore Riverside.
CLICK ABOVE IMAGE TO ENLARGE
And City Attorney Gregory Priamos had to get his two cents in an unprecedented attempt to mitigate and belittle the circumstances that led to the law suit. Mr. Priamos states “some have argued?” No Priamos, the law of the State of California in the Moreno’s water law suit argued that you were breaking the law, and in violation of the the California State Constitution. Further, this is not a “payment”, but a “tax” according to the State of California.
CLICK IMAGE TO ENLARGE
So why instead of scaring the public in the attempt to frighten them into voting Yes on Measure A, why doesn’t the City make some cuts themselves that cost the taxpayer, such as: Promote Pension Reform, Stop charging Lunches to the taxpayer, Stop charging trips to the taxpayer, close the Raincross Cafe (it’s been costing the taxpayer how much?), Sell the Fox Theatre to Private Enterprise (Aren’t we in an negative $3 million yearly since the city took over?), Stop purchasing expensive funiture, Stop the excessive salaries and benefits (Privat sector would never get these), Check into Time Card Fraud, Cut the Mayor’s budget and Stop excessive 10% to 15% raises alson known as Pension Spiking (A favorite of Mayor Luv). A good example was Kristin Tillquist, Mayor Luv’s Chief of Staff or the incomparable City Attorney Gregory Priamos.
CLICK IMAGE TO ENLARGE
Did the “Yes on Measure A” campaign create a foa pau by inadvertently placing the City’s web site for infomation on this issue, instead of the legitimate yesonmeasureariverside.com site? It appears they did, because they are now telling the public how to vote and the City should be impartial on this issue.
We also found it a bit intriguing that one of the Raincross Group members reached out to the No on Measure A Facebook site to provide us with a bit of advice, on the rules and regulations of Facebook. Thanks Aarron for your concerns on our facebook site regarding our fake name and how to make more friends.
CLICK IMAGE TO ENLARGE
But shouldn’t the contributor’s to the Yes on Measure A be better off giving their contributions to charity? Mainly, unions in considerable amounts.
The position that a yes vote will not increase water rates is irrelevant to the Measure A. Water rates can increase do the tiered water rate scheme propagated by the city to increase water revenue. With increase water revenue, the 11.5% transferred to the General Fund is even greater..
the City claims many services will be effected as Fire (Property Taxes & Prop. 172), Police (Property Taxes & Prop. 172), Crossing Guards (Property Taxes), Tree Trimming (Property Taxes), so when was the last time anybody seen their trees cut? Here’s an interesting comment. The city wants you to pay to cut their own trees, even though you already pay for it in property taxes. Other property owners having a back alley, are being mandated to abate weeds in the back alley adjacent to their property, or otherwise be fined! What! the property is City property!
This is such a win for the citizens of Riverside. The Measure A that they are talking about, I have my doubts. I have had the city out to my house three times to cut a tree that is their tree, and each time I have been denied with the city stating that if I want it cut I will have to pay for it. The darn thing is hanging over my house but the city worker claims it doesn’t need to be cut. I think they are just trying to get me to pay for it. I can’t see how Measure A will help get it cut down, if they already had the money and would not do it. They just want to take tax payer money and do what they will with it. Vote “NO” on Measure A. – Sandi Garcia, Commenter on the PE
CLICK IMAGE TO ENLARGE
Pot holes, also paid for by Property taxes, but many are asking the question of why the street in our City are beginning to appear as a third world country? Here a pic taken locally of a neighborhood street. So what gives, taxes come in, but services never transpire. Does the City need the help of the resident, maybe one day out of the month to go around patching up our streets?
CLICK IMAGE TO ENLARGE
WITH INCREASING AMOUNT OF POTHOLES BECOMING PREVALENT IN THE CITY OF RIVERSIDE, SHOULD WE GOOD CITIZENS AND DO THE WORK OURSELVES AS ONE SAN DIEGO RESIDENT DID? Well, this is what San Diego Hillcrest resident Primo Vanicelli decided to do back in 2010 as reported by the SanDiego.Com
Libraries (Property Tax), Storm Drains (Property Tax & additional Storm Drain Tax), Gang Control (already paid for by DOJ in Police Asset Forfeiture Funds), Disabled Services (Property Tax), Senior Services (Property Tax), Landscaping (Property Tax), Tree Trimming (Property Tax), 911 Dispatch Personal (Property Tax) and on and on.
How would you vote if you recieved this swell kit from Public Utilities March 05, 2013, the day that the Measure A resolution was passed at City Council?
At City Council on Tuesday May 07, 2013, City Manager Scott Barber presented a “what if.” What if Measure A doesn’t pass, how it will effect the City in regards to services, to the extent of 3.1% of the City’s operating budget. Now if anyone has worked corporate, as I have, you know that if management asked you to cut 10%, you were in hog heaven. Considering a 20% to 30% cut that’s a bit tougher, but can be done. The City Manager is complaining of a 3.1% cut, is he kidding? But he takes the doom and gloom approach, because it is what get’s people’s attention. It is scaring employees and resident by perpetrating a dispiccable farce. What is his 3.1% based on? It certainly not based on last years spending or the spending over the last 16 years. Why? Because there is no track record of the spending to begin with.
CITY RESPONDS IN A LETTER REGARDS THE DETAILS OF THE WATER SETTLEMENT
CLICK THIS LINK TO VIEW LETTER
The City of Riverside’s states in this letter that when Proposition 218 was passed in 1996, that the impact on the City was unclear since the voters had already voted on the transfer. The City fails to indicate that the Proposition 218 made the transfer null and void, and illegal to continue the transfer without a vote of the people. So how much did the City of Riverside really know? Well it appeared they knew plenty.. The City cannot claim ingnorance on this one, the Mayor Ron Loveridge was the President of the League of Cities for two terms. The League of Cities created the implementation guide to Proposition 218, with the help of the Attorney who advised the city to settle, Michael Colantuono. A little known fact is that the California Supreme Court mandated that cities had till November 08, 1998 to comply and approve a tax measure to continue the General Fund Transfer as a tax on water service. November 08, 1998 came and the City of Riverside failed to meet this tax approval deadline, and continued to illegally transfer monies to the General Fund for the next 16 years, without giving the opportunity to the residents to vote on it.
In the below agreement between the City of Riverside and the Hyatt, they admit to the transfer, but note that no court has ruled on whether a transfer like Riverside can be called a cost of providing water service. Recently in a Press Enterprise, the Hyatt was suing the City of Riverside for “extorsion.”
CLICK DOCUMENT IMAGE TO ENLARGE
Page 52 of this agreement indicates that the City understands Article XIII C of the California State Constitution. The City states in this agreement that Article XIII C requires that all new taxes be submitted to the electorate (this is you the voter) before they become effective. Taxes for general government purposes (taxes that can be spent on anything) of the City require a majority vote, even if deposited into the City’s General Fund, require two-thirds vote. The City further understands that because this “tax” requires voter approval per Proposition 218, this in turn, will reduce the City’s flexibility to raise revenues for the General Fund, and no assurance can be given that the City will be able to impose, extend or increase such taxes in the future to meet increased expenditure needs. Though the No on Measure A campaign are stating this is not a tax, the City validates that it is in this agreement. The City in there support of Measure A has no become instrumental in misleading the public on the legalities of this measure. Also, in order for monies to be transferred to the City’s General Fund, the monies must be labeled as taxes.
Further, on page 52, the City indicates it’s understanding of Proposition 218 by attesting to the provisions of Article XIII D, such as item (iv) a prohibition against fees and charges which are used for general government services, including police, fire and library services. Simply because the service is already paid for through property taxes!
A 2010 financial report, issued when the city sought to borrow money to loan to a hotel developer, cites court decisions in three utility fee lawsuits and notes that no court has ruled on whether a transfer like Riverside’s can be called a cost of providing water service.
So far, the report said, “no claim has been filed with the city regarding the legality of including the revenue transfer as a cost of providing the related services and no litigation has been threatened” – but the information was included among possible risks to investors who might lend the city money.
But down the line we also noticed that in a letter to Mark Hill, Department of Finance for the State of California, our City Manager Scott Barber brought to his attention some possible conflicts with Proposition 218. Further example of the City of Riverside knowingly understanding the impact of a violating Proposition 218.
CLICK THE IMAGES TO ENLARGE SPECIFIC PAGES FOR VIEWING
OR
CLICK THIS LINK TO VIEW ALL PAGES OF THE THIS LETTER
The bottom line, the City knew of the impact of Proposition 218 over the years and what would happen if they were challenged in a court of law. This stems from former Mayor Ron Loveridge, City Attorney Gregory Priamos, former City Manager Brad Hudson and current City Manager Scott Barber. But ultimately the Council is legally responsible for the actions and decisions they have made.
SEWER BID CANCELLED?
In what appears to be a routine sewer replacement on 9th street also appears to have been cancelled. Does the City of Riverside lack the $3,358,127.50 in the sewer funds to initiate and complete a maintenance upgrade project?
CLICK IMAGE TO ENLARGE
THE BILL AND MELINDA GATES FOUNDATION: WHAT DOES THE GREATER RIVERSIDE CHAMBER HAVE TO DO WITH IT?
CLICK THIS LINK TO VIEW FULL DOCUMENT
Questions abound as to why the Greater Riverside Chamber has received monies from the Bill and Melinda Gates Foundation Funds, keyed in under the Mayors Community Relations. Why are monies from this foundation finding there way to the accounts of the Greater Riverside Chamber?
WILL THE PURPLE PIPE BE BACK?
The rumor around town is that Public Utilities Director Dave Wright is really looking at a water increase to refund what is now known as the recycled water program, or as many have recalled, the purple pipe program. Though currently there are no pending rate increases in the plans. This is all in fact if Measure A does not pass. If Measure does not pass, water rates will not necessarily be cut, but the plan is to have the water fund pay for the recycle water program/ purple pipe. Last time the council attempted to put this through was back in April 2012. Questions arose if these new fees attached to our water bill are really “taxes?” In this resolution it was also found that Wright wanted the taxpayer to also pay for $500,000.00 in new furniture. It seems as if we are always going around in circles, once the city hits one obstacle, as it may be a tax and those darn residents have to vote on this issue, they just continue to go back to the drawing board and find another way. Here we are again, looking at a different way of getting our money for the same issue we dealt with last year. This time the intended rate increases will be raised to pay for the purple pipe.
NO ON MEASURE A CAMP HACKING FOR SUPPORTERS?
The new word around town is that the No on Measure A Camp is erroneously posting Yes on Measure A people as supporters. My response on our FB site was to indicate that we initially did a email blast for support. What we are understanding is that there may have been confusion between the terms “Yes” and “No”. People who were “Yes” supporters or not supporters at all inadvertently confirmed the No on Measure A FB site as supporters. Even Tom Hunt confirmed us as a friend initially, then realized it was No on Measure A and defriended us. We understanding that defriending can be done on both sides of the spectrum. So if there are friends on No on Measure A that don’t want to be friends, you can defriend us on your end, or contact us to defriend on our end. We didn’t realize FB would be this complicated. But it appears that the “Yes on Measure A” camp may be indicating to their friends, that the “No on Measure A” camp is “hacking” into FB sites to bring non-supporters to the “No on Measure A” FB site. If someone can tell us how to erroneously post people who don’t really want to be your site, let me know. Further, we weren’t sure how they were assessing that we knew they were “Yes” supporters to begin with. Does anybody know why we call ourselves a camp?
VOTE NO ON MEASURE A
For more information on this June 4th, 2013 Measure A, visit are web site at: noonmeasureariverside.com
GOVERNMENT SHOULD LIVE WITHIN THEIR MEANS, AFTERALL, WE THE TAXPAYER HAVE TO..
TMC, RATED RIVERSIDE’S MOST “SLANDEROUS” AND MEZZSPELLED, “MISSPELLED” AND “OPINIONATED” BLOG SITE! TEMPORARILY BLOCKED BY THE CITY OF RIVERSIDE AT PUBLIC ACCESS SITES WITHIN THE CITY, THEN UNBLOCKED. I GUESS YOU CANNOT DO THAT ACCORDING TO ACLU. NOW TAGGED LOCAL BLOGGERS OR LOCAL MEDIA? RATED ONE TWO ONE STAR OUT OF FIVE IN TERMS OF COMMUNITY APPROVAL RATINGS.. TMC IS NOW EXCLUSIVELY ON FILE WITH THE COUNTY OF RIVERSIDE’S DISTRICT ATTORNEY’S OFFICE, AND PROSSIBLY POSSIBLY ON FILE WITH THE CITY OF RIVERSIDE’S POTENTIAL SLAPP SUIT LIST… WE WILL HAVE TO ASK GREGORY ABOUT THAT ONE ( OUR PEOPLE WILL HAVE TO CONTACT HIS PEOPLE)… AGAIN, THANK-YOU COMMUNITY OF RIVERSIDE AND THE CITY OF RIVERSIDE EMPLOYEE’S FOR YOUR SUPPORT! COMMENTS ALWAYS WELCOMED, ESPECIALLY SPELL CHECKERS! EMAIL ANONYMOUSLY WITH YOUR DIRT OR FOR CONTACT! THIRTYMILESCORRUPTION@HOTMAIL.COM










































It is interesting how as much as things change in MoVal and Riverside, they remain the same in the rotten political structure that refuses to go way. Around 1986 Stephen Webb of Webb Engineering was recalled due to his being in bed developers. Webb and the other two were also fined by the FPPC for conflicts of interest in their city votes. Now here we are in 2013 and I’m sure Matthew Webb is some relative to Stephen Webb, can we say ‘a family tradition’? Hope not, and good luck in defeating Measure A.
The way City Hall and all the supporters of measure A are working this ,is exactly how Rusty Baily ran and won his campainge for Mayor. Look at each individual area and notice that the yes on A camp tell them all something different, that is why the talk about clean water all of the sudden. They Poll the people, then tell them what they want to hear. It’s interesting that “Bailey ran on the transparency issue and has yet to be transparent, talk about being in bed, but its everyone, not just developers. What is really mind boggling is that our D.A., has not investigated an illegal act that has been going on for 16 years. Is he also in bed with “the high five club”, so then why isn’t the attorney general looking into this, after all, isn’t this AGAINST THE LAW, .
Again I have to ask “where is the Press”! I read the article on Measure A in todays paper. If I didn’t know the information that I have learned from this website I would be worried about the safety of the citizen’s. But knowing what has been brought forth, through TMC, I can make a conscious and accurate decision with a No vote. I want answers, and so should all of Riverside. Are we to believe that our world here will collapse is this measure does not pass. I know one thing, you have to stop spending in order to get your finances in order.
So when our elected and top city officials want to scare the hell out of the citizens by “Threating to pull police and fire protection”, among other things, I have to ask myself “why don’t the PART TIME ELECTEDS” give back the car, gas, refreshment, etc, etc, and so on, back. Isn’t our safety to all the citizens more important. And does any city council person or elected really need to be traveling at the expense of the Tax payer. These are just a few of many questions that need answering before we move to give these people in charge anymore reason to spend money foolishly
update: Again, todays paper editorial section is promoting a Yes on Measure A. The people that are opposing measure A are so, not to take away essential city needs. What is not being reported is the misuse of where this money transfer has been spent in the past. The measure needs to be rewritten to include the exact use of the money, and what percent is going where. This measure needs to be clarified as a tax and the Law is clear about water money going to water use. If this measure is pasted it is still open for a law suit due to the wording.
Most people in the city live in track home neighborhoods with small to minimal size yards. What about us who live in the green belt with 2 to five acre’s plus to keep watered. The citrus industry is a dying one here in Riverside, we can’t even get our fruit picked and break even. There are those of us who bills have gone up and can reach as high as 3,000.00 a month in the hot summer months. I know of nursery’s that have gone bankrupt due to these high cost, and our city would not grant them an agricultural discount because the were not growing citrus. Again, private business owners have to struggle to survive in this city, and they do supply a service and employment to the citizens.
TMC, has uncovered all the misuse’s and pulled the paper work that proves the spending at city hall continues to be out of control and misused. There are so many hands in the pot and it has finally run dry. That is why we, the citizens have lost trust in the elected and top city officials. When they start to lead by example, maybe then they can regain the trust and integrity that previous generations instilled.
I’ve been watching this laundry list grow in terms of what needs to be “saved” by Measure A and none of these items have anything to do with water use. I don’t consider myself “misinformed”, but maybe because I’m not an insider whose privy to City Hall and its perks I truly am ignorant. If so please do a better job of educating including explaining the fact that there are people leasing city-owned space in two major downtown buildings that apparently as of 2010 hadn’t paid their rent in months and owed back rent in the six figure range without receiving even a late fee? One of them apparently appointed to serve on a major city committee or task force. So be careful of who you call a “deadbeat” because you might just have insulted a friend of yours. That’s how incestuous big cities that act like small towns in politics have become.
Maybe Mr. Hunt who I respected can explain why all people are equal but as George Orwell once wrote in Animal Farm, some are more equal than others. He’s certainly a smart enough individual.
The PE,, well it’s living off of obviously desperately needed money it liquidated through a sale to Riverside County and since April 2000 (according to minute records with the city clerk’s office) had been getting very generous utility rates from the city as well. that and the severe slashing of its most experienced reporters from its staff don’t exactly bode well for its future either in an industry that’s been facing reinvention.
One of its publishers tried out for the Charter Review Committee, an earlier one served on that committee I believe as an appointee by former Mayor Ron Loveridge. So much for the fourth wall of government.
So, you respected Ton Hunt? Really! Can you give some examples? Have you done a back round check? I just ask because I do know some of his past. Yes, like most in city hall, except our current mayor “He is a nice guy”, but you do know what they say about nice guy’s.
There are those who decide to run for political office who really do want to make a difference and do what is right. Ah, but then, they can’t get a single vote for there ward, and the game begins! Give in, sell out, or you won’t get a vote. Yes, it’s that simple, and if you haven’t lived it, you would not even imagine that, that is how it is done. A little game our “mayor Luv Luv” perfected! Does anyone think it interesting that the old council was brought back right after Rusty was elected (of course in different positions). I know, most of you don’t have the time to get INVOLVED, or like me, it really was not your thing. If every citizen here and in other cities, do not realize that we must get informed and know where our money is being spent, then we only have ourselves to blame Right now, as for who is an elected official in the city of riverside, My personnel opinion ( and you may not care), is that I would not trust a single soul, which then lets me know that most of the civic and chamber people can be bought. Lets face it “it’s the, If you can’t fight them, join them”, and that is exactly how they get the votes and support. Just think how great it would be if you could get an exculsive contract with the city for a huge amount with the renewal for 5 more years in place. WOW!!!!! But that is just for those YES,” I’ll buy in” Guy’s.
I don’t mean to be cynical, but most of you really have no idea of how bad the corruption really is !
I lived through this Hell for more than a year, and saw my family, my children and our business attacked in the press, through the social media, and on a personnel level. I had been involved politically, met and had come to know most of these people and truly thought they were there for our best interest and were held to the highest integrity. They are all out for there own personnel gain, and as the old say goes, would sell there own mother for the right price.
Yes I did respect him. I afford everyone respect until they prove they’re not worthy of it. That’s the way my mama raised me and I think for the most part she did a good job. Now trust, which many people confuse with respect is what I think needs to be earned as time and experience with people goes by. I’m just saying that because you start with respect and then move to talking about trust. both interrelated but animals of their own as well.
And with all due respect, I don’t believe I need a primer on what’s corrupt and what’s not. I’ve been doing investigative reporting for over 10 years, ran a Web site of my own for seven years that broke some stories involving the RPD including Leach’s DUI incident and I had my go arounds with Hudson and DeSantis for example going back to early 2006 when most people believed they were the bees’ knees. It’s been a very educational experience which I’m grateful to have had even during the parts of it that turned my stomach from what some folks at the top did to people. My warnings to watch them both carefully went unheeded for quite some time. But I have learned that nine times out of 10, there’s something you miss if you don’t look carefully enough that’s important. B/c you’re in Wonderland after all.
No, it’s not lost on me that the ‘prior” people are back only if you know your history, it’s actually the “prior” “prior” regime that’s working its way into all these positions. The “prior” one is still trying to reinvent itself and those folks will show up again soon as the exact opposite of what they were. Loveridge actually wasn’t a huge fan of the “priors”.
Well our Mama’s taught us the same. I do admire your integrity and principals that I read in your post. I agree trust has to be earned, and only then can you respect. What I have seen of Tom Hunt, in and out of politics does not gain my respect, and again I say, many may not care. “your word” gives you integrity, when you follow through and keep your word, doing what is right and good. Do you see a lot of that these days at city hall?
I am here in support of the incredible group of people who continue to work hard and give everything they have to bring justice to those who are illegally using the system. As far as Brad Hudson and Tom DeSantos, They are just two of many “IN THE LOOP” I applaud you for your website and reporting of the stomach turning circumstances you witnessed and reported. I wish all people would read and consider the information on these sites. As for your comment that I am in wonderland “NOT”. I don’t expect you or anyone else to understand what it was like for my family or any other going through an election. But I have been through enough of them to know that this time it was beyond anything I have seen. I don’t expect you or anyone else to understand or even sympathize. What I do know, is there is something terribly wrong in a city that once had so much to offer the citizens who chose to call it home. As far as getting sick to your stomach, We were at that point way before Brad Hudson or DeSantos. There are the interworking’s of the council and Mayor that most people are never aware of. I cannot get into particulars, but lets just put it this was, “you try to do the right thing and are informed you will be sued, this comes from the city attorney. Oh and the prior happens to be close to me, if it had not been for THAT prior so much more dishonest damage would have been done. The “prior prior” which you are referring to, were the 7-0 all or nothing group. Go Back and look into city records and really see who served this city for the good of this city! Look up who took the money!!!! As far as reinventing ones self, you are way off base if you are referring to who I think you are! There are way to many ego’s down at city hall, and I can assure you that there would have been one in there who would put the people of riverside before himself. This person NEVER took another person down to ruin him or his reputation, He only stood up for the issue’s. Achievements should be owns accolade’s, to be proud of, knowing that they have done the right thing, and this is what his Mama taught him. He surely is not your enemy. Oh by the way, the only fan Loveridge has, is HIMSELF, and no he was not a fan of priors, as they were there to bring good change. It did happen, and one by one the prior priors, left! Interesting that they have found there way back!
Thanks for your post. Having always been an outsider like most city residents I missed a lot. I’ve been watching the prior priors get staffed in the mayor’s office for example with interest and a few priors yes, reinventing themselves as most “fallen” people do in hopes that most people’s memories are quite short. That’s why people with institutional memory are so vital to democracy and an accountable and just system. But they’re the first to be cast aside during a regime change.
Always.
And as far as records go, they flatter very few people in positions of power. Maybe that’s why some of them are so hard to get. Riverside’s not seen much of that good unfortunately. Even when we had the two various 4/3 blocs, abuses happened of power. Because whether it’s 4/3, 5/2 or 7-zip it’s always been one power play over another. People come in riding grass roots campaigns, people pushing them with the best of intentions and so far I’ve not seen a single such candidate not turn and become something else more fitting with what’s already in place. Not one single elected official in the past 10-15 years hasn’t been backed by developers, and other of the usual interests the next time around. They reinvented themselves in part b/c they had to. Sometimes i think though well intended, they are ill-prepared to deal with the “scratch your back” system or the “go along to get along” bartering arrangement. Morals aren’t enough unless you’re willing to stick with them. It doesn’t help that these candidates are elected one at a time per election cycle.
I had to deal with different regimes including before Hudson/DeSantis and yeah it’s too much work. Racial discrimination/harassment lawsuits, nepotism which cost us millions of dollars in litigation. Gentrification in the neighborhoods. Riverside being the capital of UCR. Realizing that Riverside’s troubles go back to the 1920s and that weakening the mayoral position wasn’t the hoped for panacea. Got a city attorney who went from being a medical claims adjuster into muni law.
The list goes onward. But what I’ve learned too is that there’s a lot of good people out there, much higher risk for them but they still fight in what ways they can do. More good than bad. And those folks who do what’s right in the most difficult of positions have my respect and gratitude. I know I have about 500 pages or so of hate mail and that’s just over a decade. It wears on you when you get push back in various ways.
Wonderland is my term not for you, but for River City. I love using Lewis Carroll quotes b/c they fit so well. You’d think he spent some time wintering here.
It also doesn’t help that you have high ranking employees in management who forget that they work for the public and not the other way around. I had to opt out of an organizational meeting with one department head b/c he’s too scared to sit in the same room with me and would likely cancel the meeting. But then so was one of his former bosses. So maybe there’s trickle down too.
I say ” be who you need to be” It sounds to me like you are very well versed and know what you see and are talking about. I can be overly sensitive right now as when you have been shunned, and attacked in a city that you came to love and believed in for the last 35 years, well frankly you feel very foolish. Ed, really did do everything for the people, we did not need the cities money or prestige. He had already earned that through building our own business and helping the many people who wanted to do the same. He was also very instrumental in helping to bring city hood to Mira Loma, which I might add was very interesting. I was a young mom with two toddlers. You have a husband who has worked all day, every day, even through the weekends. This man truly believed and loved this city, and gave it his all! Only to be back stabbed by the very people who asked him to run for office. I can’t tell you how many people came to us and then were never seen or heard from again, not until we saw that they were the recipient of an exclusive contract of around 10 million.
When he asked me about running for elected office I had no Idea of the commitment that would follow. But I will tell you this, straight up, He was and still is 100% honest and for the people. He saw the things you have witnessed. So have I, and there are (as you know) a lot more also. That is why I so commend those who have taken on city hall. Sometimes I feel like I am living in a bad dream. I was raised in a military household and my dad fought in two wars. We lived on military bases and were raise to respect our country and all the freedoms we have.
Please do continue your good work, an I do agree with what you have to say and have seen. If anyone of the current council were in their right mind they would resign due to ethical reason’s, but then my take is that they sold that vote. Yes they have forgotten that they are PUBLIC employees.
But then why can’t they double dip, like fire and police? It’s so all trivial, except we end up paying for it.
[…] CITY OF RIVERSIDE: MEASURING UP TO MEASURE A […]
[…] Following the debate, I left after all was finished. It was told to me later that Mr. Pomerance entered the room, and made a comment to the guests that were still there, that he was surprised with the performance of Vivian Moreno. The story goes that Gary Christmas from the Rain Cross group mumbles something and then brushes me off…. OK Mr. Christmas, I brushed you and your Rain Cross Group off a long time ago when you were the Meas…. […]
[…] of Riverside is “dire,” but the City is “lying” again, as they did with Measure-A. How are they lying? Through their teeth, because “official budget documents” state […]
[…] CITY OF RIVERSIDE: M… on CITY OF RIVERSIDE: MEASURING U… […]
[…] the City sent out at taxpayers expense, and informational flyer, known as the Water Measure, or Measure-A. The items claimed Measure A was needed for, are the same items Measure Z is needed for! […]